Tour Route Example (Lizzo US + Europe Tour)

Touring makes up a huge portion of an artist’s life and the lion’s share of the industry’s revenues. At the same time, it is the only part of the music career that remains 99% “physical” in what is otherwise the digital-first industry. While some of the artists can easily reach millions of fans via streaming, putting together an international tour for the same crowd is an extremely complicated process.

The Live Music Industry: An Overview

Despite the rise of digital streaming platforms, make no mistake, live music is still the cash cow of the industry. Even though streaming revenue is expected to grow to $23 billion by 2022, by that same year the live music industry is projected to reach a whopping $31 billion in global value. Global live music revenue continues to increase (with the substantial portion of this growth attributed to the worldwide explosion of EDM festivals, which we've traced in our analyses of Chinese and Indian markets). At the same time, if we take a look at the well-established music economies, a recent Nielsen study found that 52% of Americans attend live shows at least once a year.

Nevertheless, the touring industry’s decentralized and network-based system remains a complex landscape to navigate: artists often work with dozens of local promoters, booking agents and venues in the course of a single tour. So, let’s start with the basics and identify all of the parties that are usually involved in a mid-sized tour:

Key Players in the Touring Industry

Artists and Managers

Artists and their managers are the crucial elements of the live business. As we’ve laid out in our Mechanics of Management, manager’s role is to build and coordinate the artist’s team on all sides of the music industry, and that, of course, includes the concert business. The artist’s management usually takes part in the initial route planning, helps the artist pick the touring team, and serves as a bridge between the live entertainment and all other sides of the artist’s career.  

Booking Agents

The job of the booking agent itself is very easy to define: the agent represents the artist across the live industry. Their goal is to book the tour and sell the shows to the local talent buyers, finding the venue and negotiating the price. The booking deal is usually pretty straightforward: “an artist A, represented by the agent B, commits to play an N-minute show in the venue C on the day X for a $Y. ” A good agent is the one who’s able to get all those As, Bs and Cs right — so that the venue is sold out, but there are no fans left without a ticket; the artist gets paid well, but the promoter doesn’t feel cheated, and so on. While the deal is relatively simple, it’s hard to nail all the details — especially given the fact that the show are usually booked from 8 to 24 months in advance, depending on the scope of the venue.

Promoters

Promoters are the side of the live business that funds the tour and buys the shows. The landscape of concert promotion is complex, and promoters themselves come in various shapes and sizes. To make it a bit simpler, imagine that promoter is a middle-man, connecting the concert space and the artist to put together a show. You can start building that bridge from either side, however.

Tour promoters set out from the artist side, contracting musicians to perform a series of concerts, paying for rehearsals, audiovisual production, covering the travel expenses and so on. Once the show is ready, tour promoters, working closely with the artist’s booking agent, either rent venues themselves or subcontract (read: sell) the shows to the local promoters (or a mixture of both).

Local promoters, in their turn, embark from a concert space. Affiliated, or at least connected with local venues and performance spaces, they buy gigs from the agents and/or tour promoters to own the ticket sales. An art-director of a small club, a local group of party promoters, a team of the major US festival — all those event promoters of different scope would fall into that category.

In that context, the role of the agent becomes clear. If promoters are the middle-men on the side of an artist or a concert space, the agent is the middle-man between the middle-men, who builds up the network of promoters (on both fronts) and artists, serving as a liaison between all sides.

However, some of the biggest tours today can be put together without the agent’s involvement.  One of the main shifts in the live business is the consolidation of tour and local promoters under the umbrella of entertainment conglomerates, with the most notable examples of Live Nation and AEG.

Essentially, these companies have grown their operation to the point where they can build the bridge from both sides, internalizing all the processes. They both produce the concert tours and own (or, at least, establish partnerships with) a vast network of clubs and arenas, providing venues for the tour. Live Nation, AEG and alike can now create centralized international tours, offering artists 360° deals. However, touring under such exclusive promotion remains reserved for the artists of the top echelon — so most of the shows out there are still put together in collaboration between the tour promoters, booking agents and local partners.

Tour Managers and Technicians

Tour managers that stay on the road with the artist's crew are the oil that makes the wheels of the tour spin. Even a nationwide tour involves extremely complex logistics, and it becomes exponentially harder to manage the travel as the tour passes onto an international level. For the first-tier acts, staying on the road with the artist crew, technicians and 30 trucks worth of equipment can cost up to $750k per day. The goal of the tour manager is to make sure that the money doesn't go down the drain when the artist’s bus breaks down in Nowhere, Oklahoma. Getting the band from point A to point B seems to be a pretty straightforward job, but in fact, the routine of the tour manager is dealing with unexpected and solving a dozen of new problems each day — all while keeping the artists happy and ready to perform. To give you a taste of an international tour route, here's an approximate map of the Lizzo's tour in support of "Cuz I Love You" release, stretching over 64 locations and 74,575 km — and that is just the straight routs, not accounting for the actual roadways.

"Cuz I Love You" tour route, 30.04.2019 — 28.10.2019 (interactive version available here)

"Cuz I Love You" tour route, 30.04.2019 — 28.10.2019 (interactive version available here)

Tour managers also run the technician crew, and, while the technical support of the tour is often overlooked, the fact is that behind every show there’s a team that turns the performance into an audiovisual experience that the audience has paid to see. It takes hard work and expertise to assemble the stage, set up the lights and the sound system, etc. The live industry relies on the tech crew to make the show actually happen.

Festivals & Venues

Festivals and venues are at the very core of the live business, providing the space and (usually) the base infrastructure for the show. As we've already mentioned, there’s often a great deal of vested interest between local promoters and performance spaces.  That means that there’s usually a local promoter “attached” to the venue, and same goes for music festivals.

Outdoor events are a distinct part of the live performance landscape. Operated by promotion groups, prominent festivals can introduce artists to new audiences, both in terms of fans and music industry executives — all while offering a fat pay-check. A major festival performance puts the artist on the map, and the promotional effect of the show itself has to be considered. It can become even more important than the immediate monetary gain — especially for independent, up-and-coming artists. That’s why the tour routing will often be structured around a couple of big music festivals — and then filled up with solo concerts along the way. A good example is Coachella: as the event takes place over two separate weekends, most of the Coachella artists also book “side-gigs” around the area during the in-between week.

Label & Publisher

Although recording and publishing industries are not directly engaged in the live business, we have to remember that the music industry is built on collaboration. By convention, most music tours follow the release of an album, and each artist has to report his set after the show to PROs so that the proper songwriters get paid. The music industry is made up of separate companies and people working on the different parts of the artist career — and, while not completely aligned, they are always interconnected.

The Touring Cycle

The six key parties described above work together to bring the live show to the concert-goers. However, it’s important to mention that they won’t always be represented by separate entities. Often some of the roles will be internalized by the different sides of the touring chain: independent artists and their management might produce the tour themselves, internalizing the job of the tour promoter; conglomerate promoters, as we’ve mentioned, can now offer exclusive touring deals; and so on. That said, in the next section we will go through the tour cycle step by step to showcase how all these players interact to create the tour. As it usually is in the music industry, it all starts with the artist.

1. Finding the Talent

On the first step, agents and tour promoters find and sign the performer. This process is not much different from the scouting of recording or publishing A&Rs, although the criteria might differ. For some types of artists (like DJs, for example) touring can be relatively huge, while the recording revenues might stay almost non-existent. Agents and A&Rs look for different things in the artist, but the essence of scouting remains the same across the board — identify and sign the promising acts before anyone else does.

There’s another twist to talent hunting in the live industry that is probably worth mentioning. As an average show has to be booked 9-10 months in advance, tour deals are usually signed around a year prior to the actual performance. At the same time, the vast majority of concert tours follow the recording releases to build up the momentum and ride the promotion wave. That has one unavoidable implication: tour promoters and agents sign the artist to perform the material which is not written yet, which can be quite risky.

That is especially true when it comes to the debut artists, that might not even have a 40-minute set or any solid live performance skills when they get their first touring deal. There is a lot of gut feeling that goes into scouting on the live industry side — more than in the recording business at least, where licensing deals allowed labels to mediate the risks of the creative stage.

2. Building the tour strategy and producing the show

Once the artist is on board, it’s time to produce the show and define the tour strategy and routing. At this step, the tour promoter starts the preparations: building the light show and live visual materials, booking rehearsal sessions to perfect the live performance, and so on. Meanwhile, the artist, manager, agent and tour promoter work out a general timeframe and draft an approximate route of the future tour. The initial tour planning is usually done around priority shows, like major city performances or music festivals, while the rest of the route is defined in broad strokes. Unless we’re talking about the top-tier, established artists, the tour will always follow a recording release. Once the initial planning is over, the tour strategy will be defined in terms of “The artist will play a priority city/music festival in a specific area N weeks after the release”.

3. Booking the tour

Ones the initial route is set out, the agent goes on to book the tour, pitching the show to local promoters and festivals. Starting with the priority shows and then filling in the details, the tour route gradually takes its final form. The agent negotiates with local promoters to pick out an optimal venue (in terms of volume, style, conditions, etc.) to host the show. As Tom Windish, a senior executive of Paradigm Talent Agency mentioned in our recent interview, picking the right venue is perhaps the hardest part of booking a tour: the material is not out yet, and there’s no way to predict the reception of the release that’s almost a year ahead. Go for a small but safe venue — and you risk losing potential ticket sales and disappointing the fans; go big, and you might end up in a half-empty room, losing on the investment and leaving every side of the deal disappointed. The agent has to make risky decisions in a situation of uncertainty, and given the venue landscape in some of the regions, sometimes that means choosing between a venue capacity of 500 and 2000 for what is reasonably a 1000-ticket show.

As for the conditions and splits of the booking contract, generally local promoters, tour promoters, and artists will split the net profits of the show. Artists might also get a flat fee to ensure they'll make some money even if all other parties do their job poorly. Usually, the more the flat fee, the less the artist’s share of the net profits (and vice versa). In that sense, the structure of the contract splits often reflects the artist's risk appetite: some artists self-produce the tour, sacrifice the flat fees and end up getting almost 100% of the net. Others might ask for a higher "safety" fee, lowering both the profits of the tour and their own stake in it.  
Booking agents, in their turn, earn a flat percentage on the revenues ‘on top’ (though they might put their share back in the pot if the tour doesn’t turn out a profit). That might be a lot to take in, but don't worry, we will get back to the splits and give you a clear example with a tour simulation you can find below.

4. Selling the tickets

Once the tour is booked, it’s the time to promote it and sell the tickets. On paper, the ball is in the promoter’s court here, but in reality the marketing of the tour is carried out in close collaboration between all the sides — from managers and booking agents to the artists' record labels. Concert marketing is a topic worthy of a separate article, but if we were to simplify things, it could be separated into two main parts.

First is the overarching tour marketing, implemented by the tour promoter and synchronized with the record release. The tour marketing campaign utilizes wide communication channels to promote the tour in general rather than a particular show. Second is the regional marketing owned by the local promoters, which aims to boost the sales of a specific show, focusing on narrow communication channels, like radio, OOH and locally targeted digital advertising.

As far as the actual ticketing strategy is concerned, there’s no one-size-fits-all solution, so most teams go through long and numerous meetings to define tit There's a lot of decisions to be made when settling the details of the ticketing strategy — especially as technology has put new tools into the hands of promoters — but generally accepted sales process follows an “announcement → pre-sale → general sale” pattern. First, the tour is announced through the label- or artist-owned channels. That announcement is both a chance to communicate the tour to the wide audience and build up the artist’s CRM-base by nudging fans to leave their contacts to get notified when tickets go on sale. On the live event market, the buying intent might not realize itself on the first day — so having direct contact with fans and growing the artist's CRM-base is a key tool in the hands of the industry.

Then, the pre-sale takes place: first, reaching out directly to fans in the CRM database — after all, artist-fan relationships are one of the most important assets of an artist, and a fan pre-sale ensures that engaged followers will be able to get tickets to the show. Pre-sale strategy might also involve sales through “preferred partners”, focusing on direct sales through systems like American Express PreSales in the U.S., or even Spotify, that allows to reach the artist’s fans and followers across the tour route based on their listening habits and geo-location. Finally, to complete the pre-sale, local promoters can also use the local communication channels, like CRM-base of the venue and local airplay.

All the pre-sale strategies have two primary objectives. Firstly, based on the pre-sale figures (and historical concert attendance data), the promoter can roughly tell how the show is going to sell in general — and adjust the marketing campaign accordingly. Secondly, pre-sale through reasonably closed off channels can help to mediate the problem of the secondary ticket market. In fact, most of the ticketing strategies aim to sell as many seats as possible before putting the show on the general sale. Ticketing platforms like Songkick, BandsinTown or Seated allow promoters to reach the widest audience but they also puts the show at risk of selling out to the scalper bots in a matter of hours. This is especially true for the biggest artists out there — the more the demand for the show, the more attention it's going to get from the scalpers.

5. Preparations

At this point, the tickets are on sale and the date is coming up, but there are still a lot of details to cover to make the show actually happen. Carrying out a 100-show tour means getting the artist and his tour team to a hundred different locations across the globe — all while staying on a tight budget and an even tighter schedule. Then, you have to make sure that every step of the way the artist has the infrastructure to do the actual show. Big tours are extremely complicated logistics, that require a lot of planning (usually carried out by the tour manager, affiliated with the tour promoters). Plane tickets, car rental, backline equipment shipping — this is just a fraction of what needs to be taken care of before reaching the venue.

6. The Day X

The venue is (hopefully) sold out, the material is well-rehearsed, the equipment is delivered to the club — but the show is still to be done. Someone has to set up the sound, check tickets at the door, take care of the security, prepare the guest list and set up the bar. This routine can seem insignificant at times, but in fact, a solid on-site setup is a must if you want the audience to enjoy the performance. Surely all of us can remember that one concert with that hour-long queue, delayed performance and warm beer at the bar — a poor concert organization can ruin even the best of shows. Making sure that the concert goes smoothly is a group effort of the tour crew and the local promoter's team, from tour managers and technicians to local sound engineers and the venue stuff.

7. The Show

Finally, one year, tens of thousands of kilometers and thousands of man-hours later, the artist will go on stage. Then, the team will get back on the road to repeat steps 5 through 7 over and over again, until the final row of the tour announcement is crossed out. The artist will eventually get back in the studio and start working on the new material, while tour promoters and agents will begin planning the next tour. That’s the tour life.

Tour Simulation

To conclude the Mechanics of Touring, we want to share with you an example of how the tour budget and profits are structured. Below, you will find a somewhat simplified (yet accurate at its core) budget simulation of an averaged tour. While the actual “business plan” will be much more detailed, the data below should give you a good idea of who pays for the tour and who ends up making money on it.

Costs:

Total Fixed and Variable Costs

Total Fixed and Variable Costs

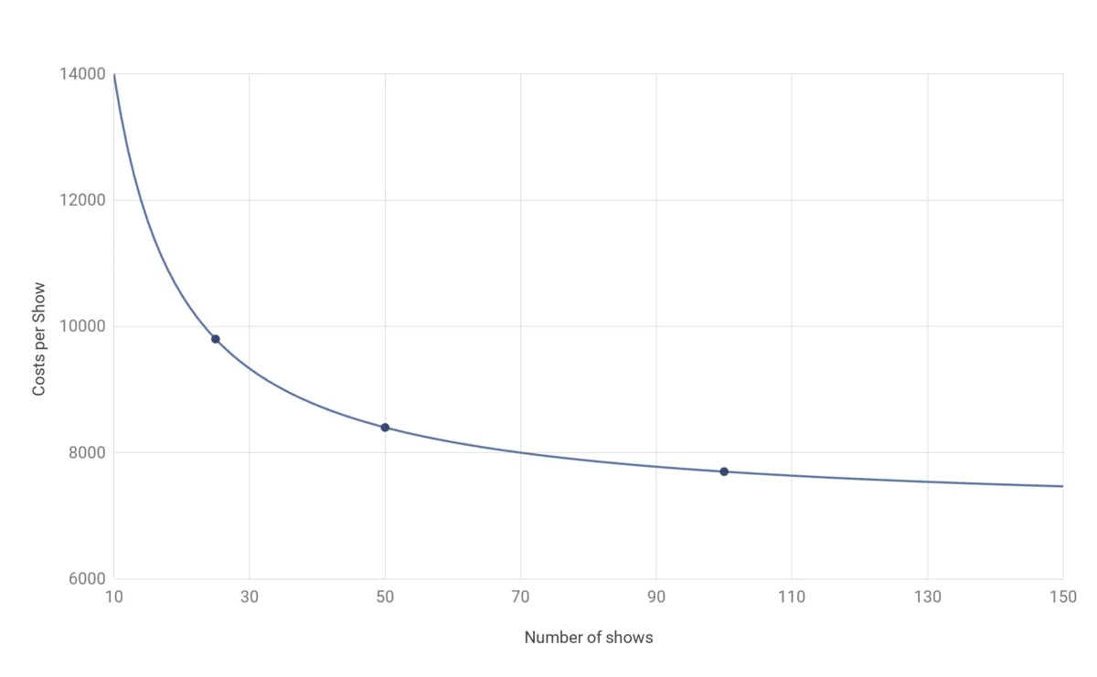
So, the tour has fixed costs of 70,000€, which have to be covered regardless of the tour length, and variable costs of 7,000€, per show. Such costs structure means that (and this is true for practically every tour) we will enjoy the scale effect, as total costs per show (calculated as (FC+ VC*N)/N, where FC is Fixed Costs, VC — Variable Costs and N is the Number of shows in the tour) will go down as the tour grows, due to the depreciation of the fixed costs.

Total costs per show, for 10-150 concerts in a tour.

Total costs per show, for 10-150 concerts in a tour.

Tour Gross Revenue

To go forward with the simulation, we will assume that the shows of the tour are all booked at the same price (which is never the case due to the difference in the local ticket prices, venue and market capacity, and other specifics). However, to simplify things, we will use the following revenue structure:        

Guarantee per show = 8,000€

Bonus if sold out = 2,000€

If we plotted the tour’s total profits as a function of the number of shows, P/L = (Revenue per show N) - (FC+VCN), we would get the following:

Tour P&L (overall profit/loss before splits)

Tour P&L (overall profit/loss before splits)

As the total costs per show go down against a constant revenue, the tour turns a profit, breaking even at the 24th and 70th show for “Sold Out” and “Not Sold Out” scenarios accordingly.

Splits

Then the time comes to divvy up the profits. First of all, the agent takes a share of all revenues “on top”. In this simulation, we will use a 15% split for the agent. So, if the tour is made up of 100 sold out shows, the agent would get (10,000\100)\15% = €150,000 in fees. However, it’s not customary in the music industry for one side of the deal to make money while the rest are losing. So, usually, the agent won’t take their share if the tour doesn’t turn a profit. But what if the tour makes a bit of money, but not enough to cover the agent’s 15% “on top”?

There are a couple of roads the agent might take in that case, cutting their share down to 5% or taking a percentage of the profits, rather than revenue, but for purposes of this simulation, we will assume that the agent will take their part of the share, but won’t put the promoter back in the red. So, if the tour has made €5K in NET profits by selling out 25 shows, the agent will take €5,000 instead of agreed upon (2510,000)15% = €37,500.

Tour promoter will take a share of the NET profits (Total Revenue — Agent’s Share — Costs). That would mean that, although the tour itself will break even on a 24th show in the Song Out scenario, the tour promoter will start making money only after the 47th show (once the agent is fully compensated). If we assume the tour promoter’s share at 20%, on a 100-show, sold out tour they will make ((10,000\100\0,85) - (70,000 + 7,000\100)) \ 0,2 = €16,000. It might seem that the promoters get the short end of the stick here, but in fact, they will often make quite a bit of money in the venue itself on things like bar and parking. This can be a substantial or even primary revenue stream for the promoter, but we’ll have to leave it out of the scope of the simulation for the sake of simplicity.

As for the artist, they will earn a flat fee (in this simulation €1,000 per show) as well as the remaining 80% of the tour’s NET. This sum will make up the artist gross, which in its turn will be divided between the artist and the management (an average manager’s share is around 15%). So, for a 100-show tour the artist gross will be: (100\1,000) + ((10,000\100\0,85) - (70,000 + 7,000\100)) * 0,8 = €164,000, which would then be split 85:15 between the artist (€139,400) and the manager (€24,600).

Tour profits distribution, by party

Tour profits distribution, by party

Of course, the actual tour will be much more complicated than in the simulation above. However, it should give you a good idea of how the tour is structured and budgeted. That’s it for this episode of Mechanics, but don’t worry — we’ll keep working to bring you insights on other parts of the music industry. If you liked this article, take a look at our Mechanics of the Music Industry to get the overview of the topics we covered so far — and the ones we plan to cover in the future.

Dmitry Pastukhov avatar

Dmitry Pastukhov

Content creator for Soundcharts. Deciphering the music business so you don't have to.